Editor’s note: Virginia Smith is the founder of Smith Research, Inc., a Chicago" based data collection agency with focus group facilities in Chicago and Deerfield. Smith Research has specialized in recruiting for over 23 years. She is also founder of Smith Medical Market Research, a division of Smith Research that recruits personnel within medical specialties for focus groups and individual interviews nationwide.
Despite warnings of growing consumer resistance to telephone and mail surveys, and growing concern about overuse of respondents in focus groups, an eight-month tracking study of a direct mail campaign to enlist participants for focus groups reveals that the majority of responses come from those who have never attended such a session.
The "Get Paid For Your Opinions" direct mail effort, conducted by Smith Research, Inc., is one of the first recruiting studies to combine information about life-time experience in focus groups with reasons for wanting to participate and demographic data. The results contrast sharply with reports of overuse of respondents and bode well for the continued use of this research tool.
"We usually ask how recently people have attended a discussion group in our screeners," says Kevin Smith, president of Smith Research. "Increasingly, we have been asking about lifetime participation in groups, as well as recent involvement in mall or telephone interviews. As one of the first recruiting specialists in the Chicago area to operate a respondent database, we have consistently tracked past participation in our groups. In 1987, we changed our format to record the total number of groups each respondent has attended in their lifetime.
"We had experimented sporadically with direct mailings before we committed to a one-year program of monthly mailings. We decided to track our results to provide ourselves and the marketing research community with a broader understanding of the public's response to this approach."
Size and method
The mail sample varied from 20,000 to 50,000 a month. A sample of 2200 responses was selected from returns covering four mailings that equally represented Chicago, the near north and near west suburbs. A card, provided and designed by Smith Research, was inserted in a packet of coupons for various products and services sent out monthly to selected areas in Chicago by a direct mail company.
Though there was no option to select specific zip codes or areas within a mailing, Smith Research selected areas that were within reasonable geographic access to one of their two focus group facilities. Racial groups could not be specifically targeted, but could be culled from the responses.
Responses came in the mail and by phone. All were handled with the same questionnaire. The study was divided into four major areas: demographic information (age, sex, race and marital status), past participation in any group interview, which facility they would attend (downtown Chicago or suburban Deerfield), and their reasons for being interested in groups.
"We knew when the mailing was targeted to arrive in the selected households," Smith explains. "We could plan on phone calls starting in two to three days and lasting for about 10 days, then it would slow to a few a day. The mail responses began to arrive within five days and about two-thirds of them came in the first two weeks. Of the remaining third, most arrived within a month."
Age, sex, race and marital status
Ages were recorded by year of birth and sorted by decade of birth year, i.e. 1950, 1960, etc. This was translated to age by subtracting their birth year from Jan. 1, 1988. Hence, the age groups are listed as 19-28, 29-38, etc.
White, Hispanic, Black, and Asian were the four categories for race. There were three categories under marital status: 1) married (including those who were living together), 2) single, and 3) widowed, divorced or separated.
Results
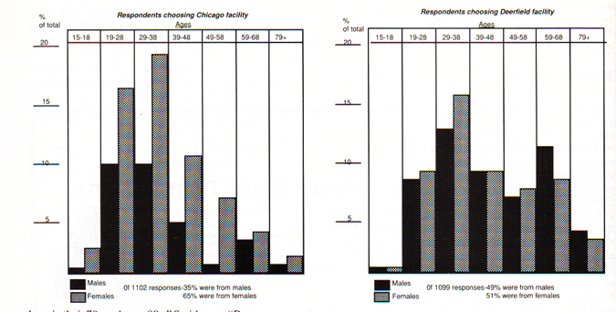
Regardless of the location of the group, or sex of the respondents, more people under the age of 38 were willing to attend than those who were older, with the most responses falling in the 29-38 age group. Those in the 19-28 group are the next age group most willing to take part.
"I didn't expect to get responses from teen-agers or from those in their 70s and even 80s," Smith says. "Because we most frequently look for people between the ages of 21 and 55, I guess I thought that those people would be the ones to respond. Fortunately, we've had some need for teens recently and also for senior citizens so we were able to use some of these new people."
Of the group choosing to attend the downtown Chicago facility, 65% were female and 35% were male, while the breakdown for the Deerfield facility was 51% female and 49% male.

One of the most significant findings of the poll is that the number of men willing to attend was almost equal to the number of women, when the location of the group was at the facility in Deerfield, a primarily white-collar, upper middle-income northern suburb. This may be due in part to the company's experience that men are more willing than women to travel greater distances to attend events, possibly because women are concerned with driving alone at night.
This is contrary to the results of telephone and in-person interviews, where more women agree to participate than men. Two possible reasons for the growth of men's interest may be 1) the increased number of business groups that pay well and deal with topics relating to men's careers, and 2) an increase in information about focus groups through education, the media and business experience. It is viewed as a research tool, an interesting experience, and as an easy way to earn money.
Because the communities selected for the mail sample were primarily white middle-to upper middle-income areas, the responses came predominantly from whites.
Responses varied by marital status between Chicago and the suburbs. More single people (64%) were willing to go to the Chicago location. As would be expected, more married people (78%) preferred to go to the suburban location.
"The number of married people who both agree to come is also fairly small," Smith says. "Most frequently, we have either the husband or the wife respond individually. Wives are more likely to volunteer their husbands than the other way around."
Past participation
A surprising two-thirds or more of the respondents had never been to a group. The percentage of "virgins" was higher among those who would attend the suburban facility (74%). 
Participants were divided into three groups according to the location of the facility which they were willing to go to (Deerfield, Chicago, and those willing to go to either facility).
"In general, those with the longer histories of group experience had accumulated it over a period of 10 to 20 years," Smith says. "They were now in their forties and fifties or older. Usually the connection with their contact person or company had been lost and they eagerly responded to our mailer, ready to begin participating again. Often there had been a five- or more year gap since their last group, which they were eager to point out to us.
"They also mentioned that they had been to other groups, even occasionally in other parts of the country, but not at our facility, as though this past experience 'didn't count' since it was elsewhere. These former attendees, though usually not qualified to attend groups, can be a potential source of 'virgin' respondents via their relatives, friends, or co-workers."
Reasons for wanting to participate
"We get responses from a lot of people who are what I call 'in transition,'" Smith says. "They've lost their job, or are in between assignments, or between an educational program and getting full-time employment, or they have just retired. They are reaching out for new experiences, and the cash looks attractive at the time.
"Getting paid for your opinions also sounds good to those who aren't in transition. Often they have heard about such groups and know second-hand that they are legitimate. Overall, roughly one-third of the responses come from those who have participated before and the rest from those who are interested in the idea of getting paid for their opinions.
"We estimate that each return costs us about $5.00. That is before the data entry cost or the time we spend on the phone getting the basic demographic information. Our goal is to provide fresh respondents for our clients and this method has enabled us to do that. It has been especially helpful in allowing us to rapidly build up a database of respondents for our new Chicago facility. I would recommend this method to others who want to rapidly increase their supply of new respondents."